2. 2축응력
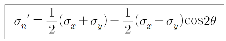
1) 임의의 경사각에서의 수직응력(=법선응력)

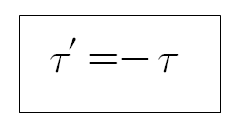
2) 임의의 경사각에서의 전단응력

3) 임의의 경사각에서의 공액법선응력


4) 임의의 경사각에서의 공액전단응력

- 주평면(주면: Principal plane): 최대주응력, 최소주응력이 존재하고 전단응력이 0이되는 면
- 순수전단(Pure shear): 법선응력은 0이면서 최대전단응력으로 존재하는 전단을 말한다.
<조건> 시그마x 및 시그마y가 인장 또는 압축을 동시에 유지하면서 ㅣ시그마xㅣ=ㅣ시그마yㅣ=ㅣ최대전단응력ㅣ으로 존재하며 임의의 각도가 45도이어야 한다.

3. 평면응력
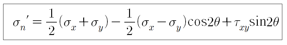
1) 임의의 경사각에서의 수직응력(=법선응력)

2) 임의의 경사각에서의 전단응력

3) 임의의 경사각에서의 공액법선응력


4) 임의의 경사각에서의 공액전단응력

5) 주응력(임의의 각도가 0인 경우 발생)


6) 주 전단응력(임의의 각도가 45도인 경우 발생)


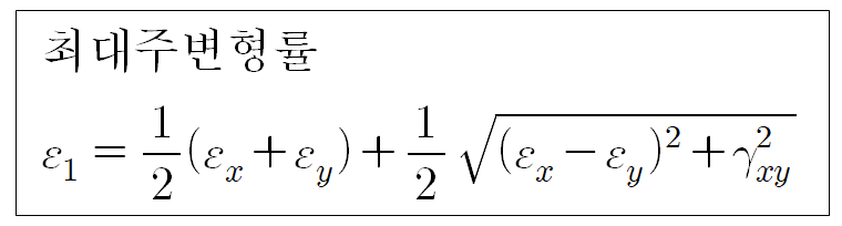
7) 주 변형률과 주 전단변형률


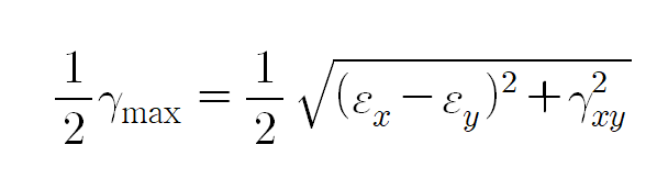
8) 최대전단변형률



'공기업 기계직 전공 정리 > 재료역학' 카테고리의 다른 글
| 제 4장 평면도형의 성질(수정중) (0) | 2023.04.15 |
|---|---|
| 제 3장 응력의 조합상태 - 1 (0) | 2023.01.27 |
| 제 2장 재료의 정역학 - 3 (2) | 2023.01.27 |
| 제 2장 재료의 정역학 - 2 (0) | 2023.01.24 |
| 제 2장 재료의 정역학 - 1 (0) | 2023.01.24 |