1. 단면1차 모멘트와 도심

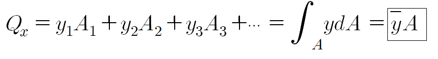
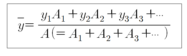
x축에 대한 단면1차 모멘트는


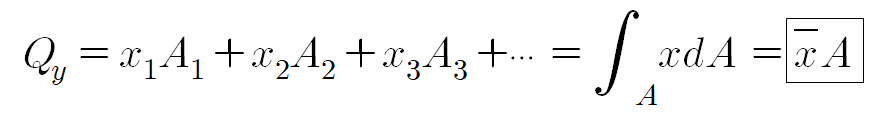
y축에 대한 단면1차 모멘트는


결국, 도심을 지나는 축에 대한 단면1차 모멘트가 0임을 알 수 있다.(도심을 지나는 축 = 대칭축과 같은 의미)
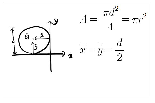
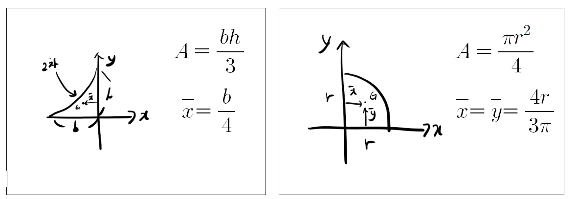
cf. 기본도형요소의 도심






2. 단면2차 모멘트(관성모멘트)
3. 평행축 정리
4. 극단면2차 모멘트(극관성모멘트)
5. 단면계수
6. 극단면계수
'공기업 기계직 전공 정리 > 재료역학' 카테고리의 다른 글
| 제 3장 응력의 조합상태 - 2 (0) | 2023.01.30 |
|---|---|
| 제 3장 응력의 조합상태 - 1 (0) | 2023.01.27 |
| 제 2장 재료의 정역학 - 3 (2) | 2023.01.27 |
| 제 2장 재료의 정역학 - 2 (0) | 2023.01.24 |
| 제 2장 재료의 정역학 - 1 (0) | 2023.01.24 |