5. 충격에 의한 응력과 늘음량

1) 충격에 의한 응력


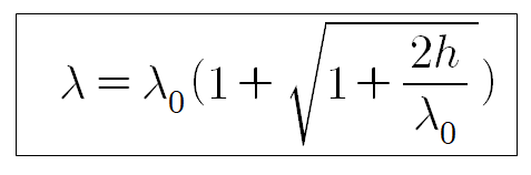
2) 충격에 의한 늘음량

갑자기 추를 낙하시켰을 때 h=0을 대입하면

충격응력 및 신장은 정적응력 및 정적신장의 2배
6. 압력을 받는 원통
[1] 내압을 받는 얇은 원통에서의 응력


- 유도






1) 원주방향의 응력(후프응력, 반지름 방향)

1) 축방향(세로방향)의 응력

또한, 원주방향의 응력이 더 크므로 원통형 보일러의 경우 압력때문에 보일러 동관이 깨진다면 세로방향, 즉 길이와 평행한 방향으로 균열이 생김

[2] 얇은 살두께의 구에서의 응력(막응력:Membrane stress)
- 유도


막응력은 셸 구조가 막응력 상태에 있을 때 셸면내의 압축응력이나 인장응력을 말한다.

[3] 내압을 받는 두꺼운 관

7. 얇은 회전체의 응력
- 예: 풀리, 림, 플라이휠(광성차), 원환 등

'공기업 기계직 전공 정리 > 재료역학' 카테고리의 다른 글
| 제 3장 응력의 조합상태 - 2 (0) | 2023.01.30 |
|---|---|
| 제 3장 응력의 조합상태 - 1 (0) | 2023.01.27 |
| 제 2장 재료의 정역학 - 2 (0) | 2023.01.24 |
| 제 2장 재료의 정역학 - 1 (0) | 2023.01.24 |
| 제 1장 하중(Load) - 2 (0) | 2022.12.07 |