1. 단순응력



1) 임의의 경사각에서의 수직응력(=법선응력)

- 유도


2) 임의의 경사각에서의 전단응력

- 유도


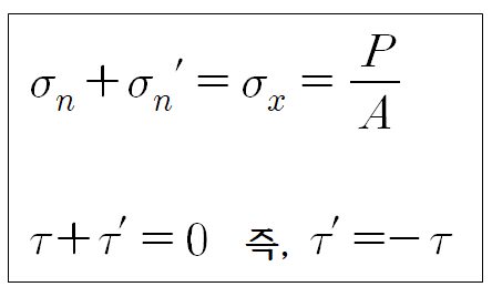
3) 임의의 경사각에서의 공액법선응력

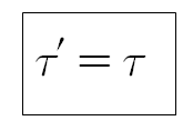
4) 임의의 경사각에서의 공액전단응력

두 직교단면에 작용하는 전단응력은 그 크기가 같고, 방향이 반대임을 알 수 있다.
또한, 여기서 다음의 관계를 알 수 있다.

- 경사면에서 발생하는 최대전단응력은 경사단면과 평행
- 단순응력의 경우 최소주응력이 0 임

*모어원




- 취성재료에 비틀림을 가하면 45도 방향으로 깨짐이 생김
*순수전단의 경우



'공기업 기계직 전공 정리 > 재료역학' 카테고리의 다른 글
| 제 4장 평면도형의 성질(수정중) (0) | 2023.04.15 |
|---|---|
| 제 3장 응력의 조합상태 - 2 (0) | 2023.01.30 |
| 제 2장 재료의 정역학 - 3 (2) | 2023.01.27 |
| 제 2장 재료의 정역학 - 2 (0) | 2023.01.24 |
| 제 2장 재료의 정역학 - 1 (0) | 2023.01.24 |